McGraw-Hill Reyerson

Pre-Calculus 11

 
Textbook Solutions for Math 20-1

Chapter 1

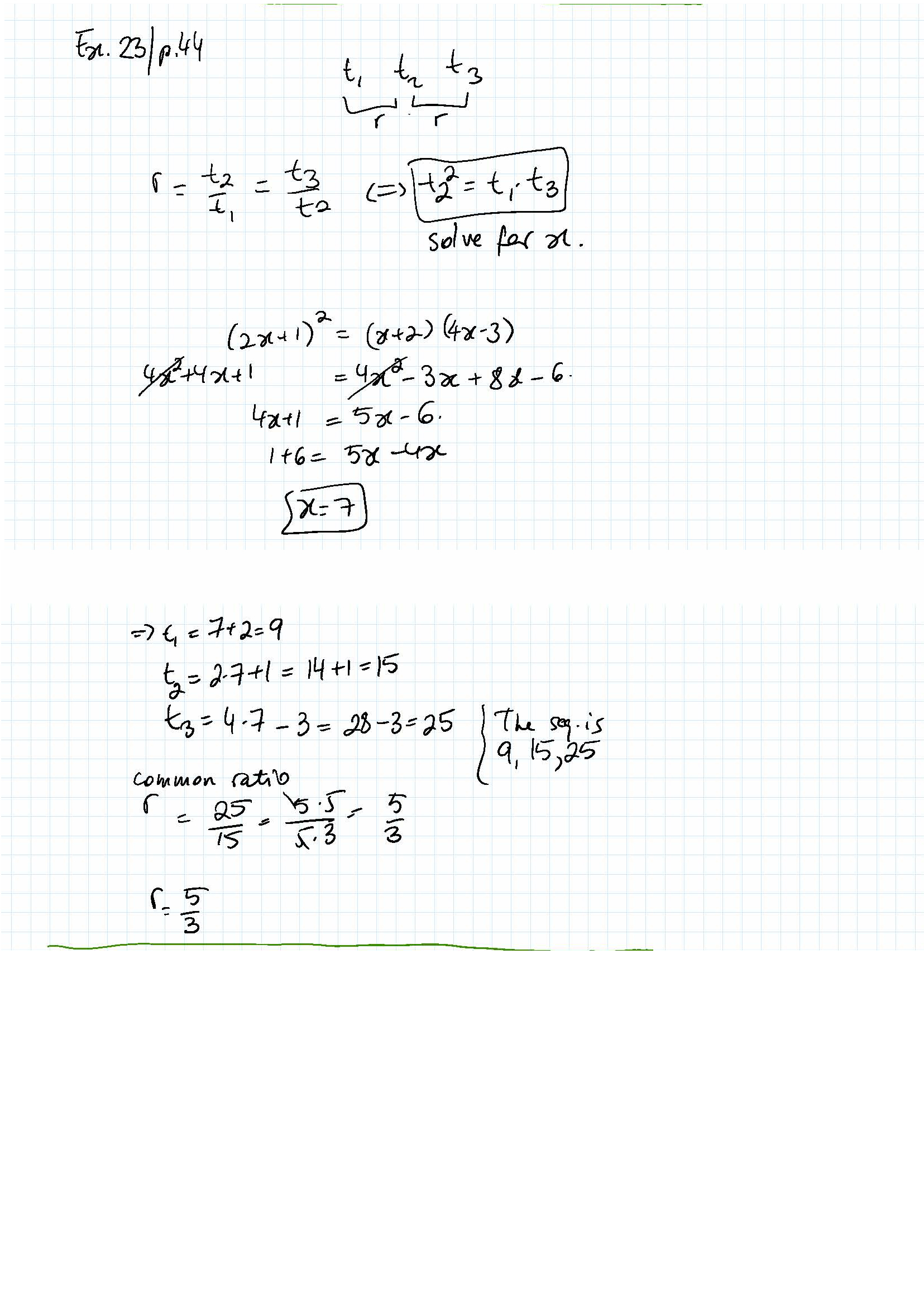
If x + 2, 2x + 1, and 4x - 3 are three consecutive terms of a geometric sequence, determine the value of the common ratio and the three given terms.

See PDF version.

(shorthand)